| VizGenie: Toward Self-Refining, Domain-Aware Workflows for Next-Generation Scientific Visualization | IEEE TVCG | Paper Pre-print | |
| Lost in OCR Translation? Vision-Based Approaches to Robust Document Retrieval | DocEng 2025 | Conference Paper | |
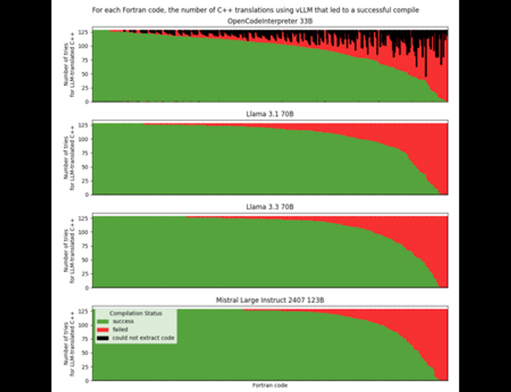
| LLM-Assisted Translation of Legacy FORTRAN Codes to C++: A Cross-Platform Study | AISD 2025 | Conference Paper | |
| Metadata Tracking and Analysis of LLM-Based Source-to-Source Code Translation | CODA 2025 | Poster | |
| Enhancing Code Translation in Language Models with Few-Shot Learning via Retrieval-Augmented Generation | IEEE HPEC 2024 | Conference Paper | |
| DeepPatent2: A Large-Scale Benchmarking Corpus for Technical Drawing Understanding | Nature Scientific Data | Journal Article | |
| Synthesizing Web Archive Collections Into Big Data: Lessons From Mining Data From Web Archives | TPDL 2023 | Conference Paper | |
| Summarizing Web Archive Corpora Via Social Media Storytelling By Automatically Selecting and Visualizing Exemplars | ACM TWEB | Journal Article | |
| Discovering Image Usage Online: A Case Study With "Flatten the Curve" | ACM/IEEE JCDL 2023 | Poster | |
| Abstract Images Have Different Levels of Retrievability Per Reverse Image Search Engine | DIRA 2022 | Presentation | |
| Abstract Images Have Different Levels of Retrievability Per Reverse Image Search Engine | DIRA 2022 | Conference Paper | |
| Creating Structure in Web Archives With Collections: Different Concepts From Web Archivists | TPDL 2022 | Conference Paper | |
| Robustifying Links With Zotero | iPres 2022 | Conference Paper | |
| The DSA Toolkit Shines Light Into Dark and Stormy Archives | code{4}lib Journal | Journal Article | |
| Dark and Stormy Archives & the National Library of Australia | IIPC TSS | Presentation | |
| From Researcher to ISTI Postdoctoral Fellow | WS-DL Blog | Invited Blog Post | |
| HTML Meta Redirects Considered Harmful for Card Generation | WS-DL Blog | Invited Blog Post | |
| The Return of SHARI -- Bringing News and Web Archive Storytelling Together Again | WS-DL Blog | Invited Blog Post | |
| How the Internet Archive Helped Me Remember CIKM 2019 | WS-DL Blog | Invited Blog Post | |
| Hypercane: Toolkit for Summarizing Large Collections of Archived Webpages | SIGWEB Newsletter | Newsletter | |
| Hypercane: Intelligent Sampling for Web Archive Collections | ACM/IEEE JCDL 2021 | Poster | |
| It's All About The Cards: Sharing on Social Media Encouraged HTML Metadata Growth | ACM/IEEE JCDL 2021 | Presentation | |
| It's All About The Cards: Sharing on Social Media Probably Encouraged HTML Metadata Growth | ACM/IEEE JCDL 2021 | Conference Paper | |
| From Student To Researcher III | WS-DL Blog | Invited Blog Post | |
| Improving Collection Understanding For Web Archives With Storytelling | Old Dominion University | Presentation | |
| Improving Collection Understanding for Web Archives with Storytelling: Shining Light Into Dark and Stormy Archives | Old Dominion University | Publication | |
| Interoperability for Accessing Versions of Web Resources with the Memento Protocol | The Past Web: Exploring Web Archives | Book Chapter | |
| Automatically Selecting Striking Images for Social Cards | ACM Web Science 2021 | Presentation | |
| Automatically Selecting Striking Images for Social Cards | ACM Web Science 2021 | Conference Paper | |
| MementoEmbed and Raintale for Web Archive Storytelling | IIPC Web Archiving Conference 2021 | Presentation | |
| Off-Topic Memento Toolkit to identify topical outliers in web archive collections | IIPC Web Archiving Conference 2021 | Presentation | |
| Robustifying Links To Combat Reference Rot | code{4}lib Journal | Journal Article | |
| The Dark and Stormy Archives Project: Summarizing Web Archives Through Social Media Storytelling | IIPC Blog | Invited Blog Post | |
| Embedded Tweets From @realDonaldTrump: They Won’t Break, But They Can Be Faked | WS-DL Blog | Invited Blog Post | |
| Summarizing Web Archives through Storytelling with the Dark and Stormy Archives Project | CNI Fall 2020 | Presentation | |
| MementoEmbed and Raintale for Web Archive Storytelling | Web Archiving and Digital Libraries 2020 | Presentation | |
| SHARI - An Integration of Tools to Visualize the Story of the Day | Web Archiving and Digital Libraries 2020 | Publication | |
| MementoEmbed and Raintale for Web Archive Storytelling | Web Archiving and Digital Libraries 2020 | Presentation | |
| SHARI -- An Integration of Tools to Visualize the Story of the Day | Web Archiving and Digital Libraries 2020 | Presentation | |
| ACM SIGIR 2020 Non-Trip Report | WS-DL Blog | Invited Blog Post | |
| Robustify your links! A working solution to create persistently robust links | IIPC Blog | Invited Blog Post | |
| Hypercane Part 3: Building Your Own Algorithms | WS-DL Blog | Invited Blog Post | |
| Hypercane Part 2: Synthesizing Output For Other Tools | WS-DL Blog | Invited Blog Post | |
| Hypercane Part 1: Intelligent Sampling of Web Archive Collections | WS-DL Blog | Invited Blog Post | |
| SHARI: StoryGraph Hypercane ArchiveNow Raintale Integration -- Combining WS-DL Tools For Current Events Storytelling | WS-DL Blog | Invited Blog Post | |
| The 28th ACM International Conference on Information and Knowledge Management (CIKM) | WS-DL Blog | Invited Blog Post | |
| Social Cards Probably Provide For Better Understanding Of Web Archive Collections | ACM CIKM 2019 | Presentation | |
| Social Cards Probably Provide For Better Understanding Of Web Archive Collections | ACM CIKM 2019 | Conference Paper | |
| Continuing Education to Advance Web Archiving (CEDWARC) | WS-DL Blog | Invited Blog Post | |
| Storytelling With Web Archives | CEDWARC 2019 | Presentation | |
| Building the Better Crowdsourced Study - Literature on Mechanical Turk | WS-DL Blog | Invited Blog Post | |
| Improving Understanding of Web Archive Collections Through Storytelling - PhD Candidacy Exam | Old Dominion University Computer Science Department | Presentation | |
| Raintale -- A Storytelling Tool For Web Archives | WS-DL Blog | Invited Blog Post | |
| Wikis Are Archives: Integrating Memento and Mediawiki | WS-DL Blog | Invited Blog Post | |
| In The Battle of the Surrogates: Social Cards Probably Win | WS-DL Blog | Invited Blog Post | |
| Google+ Is Being Shuttered, Have We Preserved Enough of It? | WS-DL Blog | Invited Blog Post | |
| Improving Collection Understanding in Web Archives | TCDL Bulletin | Bulletin | |
| The Many Shapes of Archive-It | iPres 2018 | Conference Paper | |
| The Off-Topic Memento Toolkit | iPres 2018 | Conference Paper | |
| The Many Shapes of Archive-It | iPres 2018 | Presentation | |
| The Off-Topic Memento Toolkit | iPres 2018 | Publication | |
| A Preview of MementoEmbed: Embeddable Surrogates for Archived Web Pages | WS-DL Blog | Invited Blog Post | |
| How well are the National Guideline Clearinghouse and the National Quality Measures Clearinghouse Archived? | WS-DL Blog | Invited Blog Post | |
| Extracting Metadata from Archive-It Collections with Archive-It Utilities | WS-DL Blog | Invited Blog Post | |
| The Off-Topic Memento Toolkit | WS-DL Blog | Invited Blog Post | |
| Joint Conference on Digital Libraries (JCDL) Doctoral Consortium Trip Report | WS-DL Blog | Invited Blog Post | |
| Improving Collection Understanding in Web Archives | ACM/IEEE JCDL 2018 DC | Presentation | |
| Let's Get Visual and Examine Web Page Surrogates | WS-DL Blog | Invited Blog Post | |
| Avoiding spoilers: wiki time travel with Sheldon Cooper | International Journal on Digital Libraries | Journal Article | |
| Dodging the Memory Hole 2017 Trip Report | WS-DL Blog | Invited Blog Post | |
| Storify Will Be Gone Soon, So How Do We Preserve The Stories? | WS-DL Blog | Invited Blog Post | |
| Association for Information Science and Technology (ASIS&T) Annual Meeting 2017 | WS-DL Blog | Invited Blog Post | |
| Where Can We Post Stories Summarizing Web Archive Collections | Dodging the Memory Hole 2017 | Presentation | |
| Where Can We Post Stories Summarizing Web Archive Collections? | WS-DL Blog | Invited Blog Post | |
| Web Science 2017 Trip Report | WS-DL Blog | Invited Blog Post | |
| Reference Rot | Special Libraries Association New Mexico Chapter | Presentation | |
| Uniform Access to Raw Mementos | IIPC Web Archiving Conference 2017 | Poster | |
| Discovering Scholars Everywhere They Tread | WS-DL Blog | Invited Blog Post | |
| Pushing Boundaries | WS-DL Blog | Invited Blog Post | |
| Trusted Timestamping of Mementos | WS-DL Blog | Invited Blog Post | |
| Scholarly Context Adrift: Three out of Four URI References Lead to Changed Content | PLOS One | Journal Article | |
| Fun with Fictional Web Sites and the Internet Archive | WS-DL Blog | Invited Blog Post | |
| Memento at the W3C | WS-DL Blog | Invited Blog Post | |
| Mementos in the Raw, Take Two | WS-DL Blog | Invited Blog Post | |
| Symposium on Saving The Web at the Library of Congress | WS-DL Blog | Invited Blog Post | |
| Mementos in the Raw | WS-DL Blog | Invited Blog Post | |
| WWW 2016 Trip Report | WS-DL Blog | Invited Blog Post | |
| Persistent URIs Must Be Used To Be Persistent | WWW 2016 | Poster | |
| Acquisition of Mementos and Their Content Is More Challenging Than Expected | WS-DL Blog | Invited Blog Post | |
| Rules of Acquisition for Mementos and Their Content | arXiv | Technical Report | |
| Releasing an Open Source Python Project, the Services That Brought py-memento-client to Life | WS-DL Blog | Invited Blog Post | |
| From Student To Researcher II | WS-DL Blog | Invited Blog Post | |
| Avoiding Spoilers in Fan Wikis of Episodic Fiction | arXiv | Preprint | |
| Avoiding Spoilers on Mediawiki Fan Sites Using Memento | Old Dominion University | Masters Thesis | |
| From Student To Researcher... | WS-DL Blog | Invited Blog Post | |
| Avoiding Spoilers On MediaWiki Fan Sites Using Memento | Old Dominion University Computer Science Department | Presentation | |
| Potential MediaWiki Web Time Travel for Wayback Machine Visitors | WS-DL Blog | Invited Blog Post | |
| Bringing Web Time Travel to MediaWiki: An Assessment of the Memento MediaWiki Extension | arXiv | Technical Report | |
| WikiConference USA 2014 Trip Report | WS-DL Blog | Invited Blog Post | |
| Reconstructing the past with MediaWiki | WikiConference USA 2014 | Presentation | |
| Using the Memento MediaWiki Extension to Avoid Spoilers | WikiConference USA 2014 | Presentation | |
| TimeGate Design Options For MediaWiki | WS-DL Blog | Invited Blog Post | |
| Yesterday's (Wiki) Page, Today's Image? | WS-DL Blog | Invited Blog Post | |
| Avoiding Spoilers with the Memento Mediawiki Extension | WS-DL Blog | Invited Blog Post | |
| Avoiding Spoilers with Memento | YouTube Viewers | Presentation | |
| Using the Memento Mediawiki Extension to avoid spoilers | YouTube Viewers | Presentation | |
| Continuous Integration: Finding Problems Soonest | Defense Acquisition University | Presentation | |
| A Brief Introduction to Test-Driven Development | Local ACM Chapter of Old Dominion University | Presentation | |